2019. január 03.

Hőátbocsátás górcső alatt

Hőátbocsátás górcső alatt

Nem csak a laikusok számára nagy kérdés, milyen minőségű és vastagságú legyen a beépített tetőtér szigetelése. Amikor az ország építészkonferenciáit járjuk, – lehet, hogy meglepő, de – azt látjuk, hogy az építőipari szakemberek között is parázs vitát okoz időnként ez a téma.

Vajon hány centiméter vastagságban érdemes szigetelni egy ferde tetőt ahhoz, hogy kitűnő teljesítményt érjünk el, de azért felesleges túlzásokba se essünk? Erre a kérdésre a legegyszerűbb volna csípőből rávágni, hogy 25 cm – ám egy ilyen válasz mögött gyakorlatilag nem lenne szakmai tartalom… Vonatkoztassunk el egy percre a beépített tetőterektől, és gondoljunk mondjuk bármilyen hűlő épülethatároló szerkezetre. A témát közelebbről megvizsgálva gyorsan nyilvánvalóvá válik, hogy Magyarországon valamiért nagyon könnyen dobálóznak még szakmán belül is a centiméterekkel – pedig mindenki tudja, hogy ez szakmai szempontból nézve nem határozható meg ilyen leegyszerűsített formában.

A beépített tetőterek rétegrendi kialakítása nagyon sokféle lehet, mint például szarufa között és alatt elhelyezett hőszigetelés, szarufa közötti és feletti hőszigetelés vagy éppen szarufa feletti hőszigetelés (vasbeton monolit koporsófödém tartószerkezettel vagy belülről látszó szarufás megjelenésben). Hazánkban a legtöbb esetben a szarufa közötti és alatti szigetelést tervezik és építik be, ezért ezt a szerkezeti kialakítást vesszük most közelebbről nagyító alá.

Egy ilyen kialakítású tetőben a tartószerkezeti feladatot a vonalas tartószerkezeti elemek, azaz a szarufák látják el. Ezek a szarufák vonal menti hőhidat képeznek a belső és a külső tér közt, magyarul többlet hőveszteséget generálnak a nem hőhidas területek (például a szarufák közti terület) hőveszteségéhez képest. A szarufa alatti második réteg hőszigetelés elhelyezéséhez szükséges vízszintes fa vagy fém vázszerkezetnek is van vonalmenti többlet hővesztesége, hiába van felette – kifelé a szarufaközökben – hőszigetelés. Az sem mindegy, hogy a szarufa alatti, vízszintes vázszerkezetet direktben ráültetjük pontonként a szarufák alsóbelső síkjára vagy fém lengőkengyel használatával lógatjuk a belső tér irányába.

Ahhoz hogy pontosan meg tudjuk határozni egy beépített tetőtér külső térelhatároló szerkezetének U-értékét, ismerni kell és minimum befolyásoló tényezőként figyelembe venni a következő paramétereket is:

  • a szarufák szélessége, magassága, közeinek mérete;
  • a belső vízszintes vázszerkezet anyaga (fa vagy fém – fa esetében keresztmetszet, szélesség és magasság, tengelytávolságok);
  • a szarufa alsó síkjára történő rögzítés módja (befüggesztve vagy pontonként, direkt módon felerősítve);
  • beépítendő hőszigetelés deklarált lambdája;
  • a külső tetőfedés alatti tetőfólia páraáteresztő képessége (ha nem, a szigetelés és a tetőfólia közt minimum 5 cm magas hőszigetelési légrést kell beiktatni).

És arról még nem is beszéltünk, hogy az is alapvető szempont, milyen követelményértéknek szeretnénk megfeleltetni majd a kész szerkezetet/épületet.

Az energetikai rendeletekben 2006-óta a fűtött tetőteret határoló szerkezetekre 0,25 W/m2K volt megadva. Ez elég sokáig volt érvényben, de a szigorításokat követően, a jelenleg is érvényes maximum érték már 0,17 W/m2K! Egy dolgot azért fontos megemlíteni: már a 2006-os rendeletben is szerepelt, hogy ezt az értéket úgy kell kiszámítani, hogy ha a szerkezetben van bármilyen hőhídhatást okozó szerkezeti elem (vonalas tartószerkezet, pontszerű rögzítés stb.), úgy annak a hatását figyelembe kell venni, bele kell számolni a határérték számításába. Igazság szerint ha ezeket a többlet hőveszteségeket már 2006-ban mindig megfelelő módon számoltuk volna ki, gyakorlatilag már jó 12 éve nagy vastagságú és alacsony deklarált lambdájú termékeket kellene látnunk hőszigetelésként a magastetőkben. Védelmükre szólva, a tervezők, akik a hőtechnikai-energetikai számításokat készítik, nincsenek egyszerű helyzetben, mert a gyakorlatban egy ilyen konkrét tetőtéri szerkezet vonalmenti hőhídveszteségeinek korrekt meghatározására 2-3D-s szimulációra lenne szükség. Ez a lehetőség pedig nyilvánvalóan nem áll minden számítást végző személy rendelkezésére.

Voltak és vannak is az energetikai rendeletekben úgynevezett egyszerűsítések, amelyek segítségével valamilyen szinten ezeknek a hőhidaknak a többlet hőveszteségét figyelembe lehet venni, de a tapasztalat azt mutatja, hogy ezek mind jelentősen alábecsülik a valós hőveszteséget. Divatos, gyors és remek számítógéppel kalkulálni, de létezik azért pár „mezítlábas” módszer, amivel akár papíron számolva is nagyon pontosan tudjuk a vonal menti hőhidak hatását figyelembe venni.

A legelterjedtebb 4 féle U-érték számítás összevetésével szemléltethető, hogy milyen különbségeket mutat a végeredményben egyes tényezők félresöprése, hiszen mind a 4-féle metódussal más U-érték fog számítódni ugyanarra a szerkezetre.

Hőátbocsátás górcső alatt

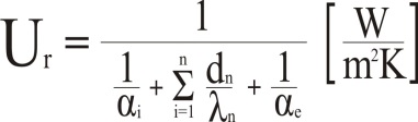
Ez a mindenki által jól ismert „alapképlet”: ha csak ezt alkalmazzuk, nem veszünk figyelembe semmilyen hőhídhatást okozó szerkezeti elemet. Gyakorlatilag ilyenkor azt feltételezzük, hogy maga a hőszigetelés lát el tartószerkezeti feladatokat is. (Ur – hőhídhatás nélküli U-érték)

Hőátbocsátás górcső alatt

Ennél a számításnál a szarufa közti és alatti rétegekre egy eredő lambdát számolunk, magyarul a faanyag és a hőszigetelő anyag lambdáját egymáshoz súlyozzuk felületarányosan, majd ennek a felhasználásával számolunk U-értéket az 1. pontban leírt képlet segítségével.

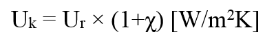
Hőátbocsátás górcső alatt

Ennél a képletnél gyakorlatilag az 1. pontnál lévő eredményt (ami nem hőhidas szerkezet U-értéke) „lerontjuk” egy táblázat alapján, ahol a fm/m2 adatok alapján ki tudjuk választani, hogy a szerkezet gyengén-közepesen-erősen hőhidas-e (hány méter hőhíd esik egy m2 felületre). (Uk – korrigált érték a hőhidak fm-e alapján)

Hőátbocsátás górcső alatt

Ez adja a legpontosabb U-értéket a szerkezetre nézve, viszont itt a szarufának és a belső vázszerkezetnek a vonalmenti többlet hőveszteségét meg kell határoznunk 2-3D-s, numerikus szimulációval. (Uv – valós U-érték)

Napjainkban egy hazai beépítésnél, amikor általában – a szokásjog következtében – 20 cm összvastagságú szigetelésben gondolkodunk (15 cm szarufa és 5 cm alatta), és a hőszigetelés deklarált lambdája például 0,039 W/mK, az első számítás (0,18 W/m2K) és a negyedik számítás (0,277 W/m2K) közt 54% U-értékbeli eltérés tapasztalható, ami jelentős nagyságrendbeli különbségnek számít! (Megjegyzendő, hogy ezen a 20 cm-es vastagságon már rég túl kellett volna lépnünk ahhoz, hogy mind a régi, mind az új követelményértéket a hőhídhatások figyelembevétele mellett tudjuk teljesíteni.)

Mi a tanulság? Csak a centimétereket dobálva nem jutunk előrébb. A szigetelési vastagság és a deklarált lambda kézen fogva járnak együtt, csak így szabad róluk beszélni. Minden energetikai számítás alapja, hogy a hűlő épülethatároló szerkezetek hőveszteségét a lehető legpontosabban vegyük figyelembe, hiszen ezek alapján készül majd a fűtőberendezések és a hőleadók méretezése is.

És mivel járulnak hozzá a tervezők erőfeszítéseihez a gyártók? Korszerű, profi, minőségi szigetelőanyagokkal.

Varga Tamás alkalmazástechnológus

hírlevél-feliratkozás

Építési jog

WELL Residence: az új, lakóépületekre optimalizált WELL épületminősítés - VIDEÓ

Építési beruházások építési jogi és közbeszerzési jogi speciális feltételei - Konferencián feltett kérdések és előadói válaszok

Ezt mondták a résztvevők: miért érdemes részt venni az építési jogi konferencián? VIDEÓ

Megjelent a közszolgálati dolgozók otthontámogatásáról szóló rendelet

Minden tervezőnek fontos, hogy év végén aktualizálja a felelősségbiztosítási szerződését!

épjog